Petunjuk Dan Contoh Pph Pasal 21
Pembayaran Hutang Gaji Beecloud
Pembayaran Hutang Gaji Bee Id
Buatlah Jurnal Penyesuaian Per 31 Desember 2016 Dalam Jurnal Umum Brainly Co Id
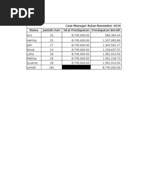
Gaji Case Manager
Gajian Dari Google Adsense Bulan November 2016
Soal Jurnal Penyesuaian
Pada 1 Juli 2016 Juliardi Mendirikan Jasa Foto Copy Mulya Jaya Transaksi Yang Terjadiselama Bulan Brainly Co Id
Pt Bentoel Prima
2
Dprd Akan Panggil Kadikbud Terkait Gaji Guru 2016 Belum Dibayarkan Berita Maluku Utara
Lampiran Perdirjen 32 Tahun 2015 Pdf Document
Road To 55 Kg 2016